4. Autograd: 자동 미분
페이지 정보
작성자 관리자 댓글 0건 조회 3,479회 작성일 20-03-01 22:41본문
4. Autograd: 자동 미분
PyTorch의 모든 신경망의 중심에는 autograd 패키지가 있습니다.
autograd 패키지는 Tensor의 모든 연산에 대해 자동 미분을 제공합니다.
이는 실행-기반-정의(define-by-run) 프레임워크로, 이는 코드를 어떻게 작성하여 실행하느냐에 따라 역전파가 정의된다는 뜻이며, 역전파는 학습 과정의 매 단계마다 달라집니다.
변수(Variable)
패키지의 중심에는 autograd.Variable 클래스가 있습니다.
이는 Tensor를 감싸고(wrap) 있으며, Tensor 기반으로 정의된 거의 대부분의 연산을 지원합니다.
계산이 완료된 후 .backward() 를 호출하여 모든 변화도(gradient)을 자동으로 계산할 수 있습니다.
.data 속성을 사용하여 tensor 자체(raw tensor)에 접근할 수 있으며, 이 변수와 관련된 변화도는 .grad 에 누적됩니다.
Autograd 구현에서 매우 중요한 클래스가 하나 더 있는데요, 바로 Function 클래스입니다.
Variable 과 Function 은 상호 연결되어 있으며, 모든 연산 과정을 부호화(encode)하여 순환하지 않은 그래프(acyclic graph)를 생성합니다.
각 변수는 .grad_fn 속성을 갖고 있는데, 이는 Variable 을 생성한 Function 을 참조하고 있습니다.
(단, 사용자가 만든 Variable은 예외로, 이 때 grad_fn 은 None 입니다.)
도함수를 계산하기 위해서는, Variable 의 .backward() 를 호출하면 됩니다.
Variable 이 스칼라(scalar)인 경우(예. 하나의 요소만 갖는 등)에는, backward 에 인자를 정해줄 필요가 없습니다.
하지만 여러 개의 요소를 갖고 있을 때는 tensor의 모양을 gradient 의 인자로 지정할 필요가 있습니다.
실습.
# -*- coding: utf-8 -*-
import torch
from torch.autograd import Variable
# 변수를 생성합니다
x = Variable(torch.ones(2, 2), requires_grad=True)
print("----------------\n x")
print(x)
# 변수에 연산을 수행합니다
y = x + 2
print("----------------\n y")
print(y)
# y 는 연산의 결과로 생성된 것이므로, grad_fn 을 갖습니다.
print("----------------\n y.grad_fn")
print(y.grad_fn)
# y에 다른 연산을 수행합니다
z = y * y * 3
out = z.mean()
print("----------------\n z")
print(z)
print("----------------\n out")
print(out)
결과.
변화도(Gradient)
이제 역전파(backprop)를 해보겠습니다. out.backward() 는 out.backward(torch.Tensor([1.0])) 를 하는 것과 똑같습니다.
실습.
# -*- coding: utf-8 -*-
import torch
from torch.autograd import Variable
# 변수를 생성합니다
x = Variable(torch.ones(2, 2), requires_grad=True)
print("----------------\n x")
print(x)
# 변수에 연산을 수행합니다
y = x + 2
print("----------------\n y")
print(y)
# y 는 연산의 결과로 생성된 것이므로, grad_fn 을 갖습니다.
print("----------------\n y.grad_fn")
print(y.grad_fn)
# y에 다른 연산을 수행합니다
z = y * y*3
out = z.mean()
print("----------------\n z")
print(z)
print("----------------\n out")
print(out)
out.backward()
# 변화도 d(out)/dx를 출력합니다.
print("----------------\n x.grad")
print(x.grad)
결과.
4.5 로 이루어진 행렬이 보일 것입니다.
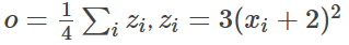
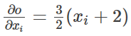
out 을 변수 “o” 라고 하면, 다음과 같이 구할 수 있습니다.
이고
입니다.
따라서, 이므로,
가 됩니다.
autograd로 많은 일들을 할 수 있습니다!
실습.
# -*- coding: utf-8 -*-
import torch
from torch.autograd import Variable
x = torch.randn(3)
x = Variable(x, requires_grad=True)
print("----------------\n x")
print(x)
y = x * 2
while y.data.norm() < 1000:
y = y * 2
print("----------------\n y")
print(y)
gradients = torch.FloatTensor([0.1, 1.0, 0.0001])
y.backward(gradients)
print("----------------\n x.grad")
print(x.grad)
결과.
